920685
介紹和解釋實驗室儀器的工作原理、操作步驟、維護保養、技術規范、應用案例等內容
恒溫槽作為一種非常常規且常見的恒溫裝置,已被廣泛應用于生物技術、化學、半導體、醫療技術、汽車、航空航天等眾多領域。如圖1所示,在面對恒溫槽的選擇和使用情況下,參數設定需要考慮眾多實際問題。每一項恒溫槽參數的背后都會有1-2項機械或物性參數對其影響,如循環泵揚程和流量都需要綜合考慮泵性能曲線及恒溫介質的物性等參數。

在選擇和使用恒溫槽時,需要考慮流體流動狀態、介質選擇和換熱效率等參數。本文,我們從流體流動先來講一講。
關于流體的流動性
眾所周知的,流體的流動性好不好,我們必然會考慮的就是流體粘不粘,也就是粘度。粘度分為動力粘度(μ)和運動粘度(ν),兩者的換算方式為:
μ = ν × ρ即 動力粘度 = 運動粘度 × 介質密度
注意:ρ:g/cm3;μ:mPa·s;ν:cSt;或者ρ:kg/m3;μ:Pa·s;ν:m2/s
動力粘度通常使用的單位為泊(P)、厘泊(cP)、毫帕秒(mPa·s)和帕秒(Pa·s)等,相互之間的換算關系如下:
1 P = 100 cP = 0.1 Pa·s = 100 mPa·s
運動粘度通常使用的單位為m2/s、斯(St)和厘斯(cSt)等,相互之間的換算關系如下:
1 m2/s = 104 St = 106cSt
液體怎么在管道內流動

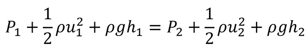
流體在管道中的流動遵循流體的機械能守恒獲得流體流動的方程。即:壓力勢能+動能+重力勢能=常數。如圖2所示管道內流動過程,在理想狀態下,1點位和2點位的能量應該是守恒的,即:

然而實際情況下,由于摩擦等存在,從1點位流到2點位必然會有能量損失,因此為了能夠使等式成立,往往需要考慮在前端施加動力,在后端考慮損失。正因此,泵可以給流體提供外加壓頭,而管道尺寸、形狀、變徑、彎頭、閥門等等均會產生管道阻力而產生壓頭損失,因此對上式變形可得:

其中,以圖2為例,等式從左到右八項分別為 1點靜壓頭、1點動壓頭、1點位壓頭、外加壓頭、2點靜壓頭、2點動壓頭、2點位壓頭、壓頭損失。
由此,我們可以得到以下結論
1、流體的流速、流量均與動力粘度成反比;2、壓降與動力粘度成正比;3、流體的粘度越大,則表示流體的流動性越差;4、外循環管路過長、過細、有過多管道連接件都會導致大量的能量損失而阻礙流動;5、當外負載管路阻力較高時應考慮升高泵壓。
關于雷諾數-Re
此外,在管道內流動時,我們如何評估流體的粘度對流動影響是否嚴重以及流體的流動狀態呢?我們需要引入一個無量綱參數,雷諾數——Re,其計算方式如下:
Re=duρ/μ
其中,d為管道的當量直徑,μ為流體的粘度、ρ為流體的密度、u為流體的流速。根據Re的從小到大,可以將流體的流動狀態分為層流、過渡流和湍流,如果想要流體在流動的過程中有充分的返混,那么需要加大雷諾數是流體進入湍流;如果想要層層推進,沒有返混那么就要讓流體流動緩慢,處于層流狀態。
那么層流和湍流對于恒溫有什么影響呢?讓我們留個小懸念,我們下次再討論~新芝恒溫水浴類產品具有多種揚程選擇,從0.45~6 bar的可選范圍,充分幫助你克服因為管道阻力過大而引起的壓降!

上一篇: 微生物生長曲線分析儀助力您的科研之路
下一篇: 微生物生長曲線分析儀大小和形狀的影響
24小時服務熱線 18106650612